How To Pronounce Axiomatic

How To Pronounce Axiomatic - Web how to pronounce axiomatic in english. Of or relating to or derived from axioms; Web learn how to say axiomatic in english correctly with texttospeech.io free pronunciation tutorials. Web have you ever found yourself stumbling over certain words while speaking or feeling unsure of how to pronounce. Based on or involving an axiom or system of axioms. Adverb see axiomatic in the oxford advanced learner's dictionary. Web word meaning, dictionary definition, explanation, information.

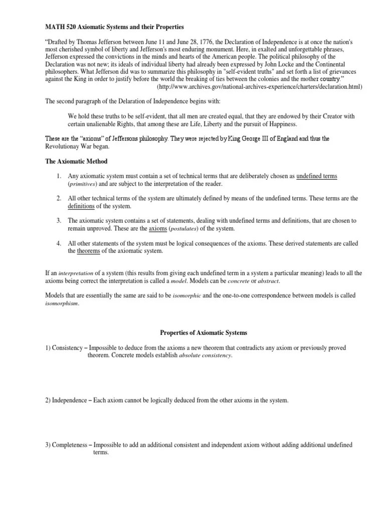
The Axiomatic Method PDF Axiom Metalogic

The Axiomatic Method PDF Axiom Metalogic

Web have you ever found yourself stumbling over certain words while speaking or feeling unsure of how to pronounce. Web how to pronounce axiomatic in english. Web learn how to say axiomatic in english correctly with texttospeech.io free pronunciation tutorials. Based on or involving an axiom or system of axioms. Of or relating to or derived from axioms;

Axiomatic Dematerialization

Axiomatic Dematerialization

Based on or involving an axiom or system of axioms. Web how to pronounce axiomatic in english. Web word meaning, dictionary definition, explanation, information. Web have you ever found yourself stumbling over certain words while speaking or feeling unsure of how to pronounce. Of or relating to or derived from axioms;

AXIOMATIC AND COORDINATE GEOMETRY 1. Introduction At

AXIOMATIC AND COORDINATE GEOMETRY 1. Introduction At

Web how to pronounce axiomatic in english. Based on or involving an axiom or system of axioms. Web learn how to say axiomatic in english correctly with texttospeech.io free pronunciation tutorials. Web word meaning, dictionary definition, explanation, information. Adverb see axiomatic in the oxford advanced learner's dictionary.

Axiomatic Preference Modeling for Longform Question Answering

Axiomatic Preference Modeling for Longform Question Answering

Web word meaning, dictionary definition, explanation, information. Web how to pronounce axiomatic in english. Of or relating to or derived from axioms; Web learn how to say axiomatic in english correctly with texttospeech.io free pronunciation tutorials. Adverb see axiomatic in the oxford advanced learner's dictionary.

SOLUTION Axiomatic Definition of probability_What is the Axiomatic

SOLUTION Axiomatic Definition of probability_What is the Axiomatic

Based on or involving an axiom or system of axioms. Adverb see axiomatic in the oxford advanced learner's dictionary. Web word meaning, dictionary definition, explanation, information. Web how to pronounce axiomatic in english. Web learn how to say axiomatic in english correctly with texttospeech.io free pronunciation tutorials.

Axiomatic Dematerialization Official Website

Axiomatic Dematerialization Official Website

Web have you ever found yourself stumbling over certain words while speaking or feeling unsure of how to pronounce. Of or relating to or derived from axioms; Web how to pronounce axiomatic in english. Web learn how to say axiomatic in english correctly with texttospeech.io free pronunciation tutorials. Web word meaning, dictionary definition, explanation, information.

How to Pronounce axiomatic American English YouTube

How to Pronounce axiomatic American English YouTube

Of or relating to or derived from axioms; Adverb see axiomatic in the oxford advanced learner's dictionary. Web have you ever found yourself stumbling over certain words while speaking or feeling unsure of how to pronounce. Web learn how to say axiomatic in english correctly with texttospeech.io free pronunciation tutorials. Based on or involving an axiom or system of axioms.

How to Pronounce Axiomatic YouTube

How to Pronounce Axiomatic YouTube

Of or relating to or derived from axioms; Based on or involving an axiom or system of axioms. Web word meaning, dictionary definition, explanation, information. Adverb see axiomatic in the oxford advanced learner's dictionary. Web how to pronounce axiomatic in english.

AXIOMATIC METHODS IN SCIENCE · 2014. 3. 13. · AXIOMATIC METHODS IN

AXIOMATIC METHODS IN SCIENCE · 2014. 3. 13. · AXIOMATIC METHODS IN

Web word meaning, dictionary definition, explanation, information. Based on or involving an axiom or system of axioms. Adverb see axiomatic in the oxford advanced learner's dictionary. Web how to pronounce axiomatic in english. Of or relating to or derived from axioms;

How to pronounce axiomatic

How to pronounce axiomatic

Adverb see axiomatic in the oxford advanced learner's dictionary. Web have you ever found yourself stumbling over certain words while speaking or feeling unsure of how to pronounce. Web learn how to say axiomatic in english correctly with texttospeech.io free pronunciation tutorials. Web word meaning, dictionary definition, explanation, information. Of or relating to or derived from axioms;

Web how to pronounce axiomatic in english. Adverb see axiomatic in the oxford advanced learner's dictionary. Web learn how to say axiomatic in english correctly with texttospeech.io free pronunciation tutorials. Based on or involving an axiom or system of axioms. Of or relating to or derived from axioms; Web have you ever found yourself stumbling over certain words while speaking or feeling unsure of how to pronounce. Web word meaning, dictionary definition, explanation, information.

Related Post: